К нуклеиновым кислотам относят высокополимерные соединения, распадающиеся при гидролизе на пуриновые и пиримидиновые основания, пентозу и фосфорную кислоту. Нуклеиновые кислоты содержат углерод, водород, фосфор, кислород и азот. Различают два класса нуклеиновых кислот: рибонуклеиновые кислоты (РНК) и дезоксирибонуклеиновые кислоты (ДНК).
Строение и функции ДНК
ДНК — полимер, мономерами которой являются дезоксирибонуклеотиды. Модель пространственного строения молекулы ДНК в виде двойной спирали была предложена в 1953 г. Дж. Уотсоном и Ф. Криком (для построения этой модели они использовали работы М. Уилкинса, Р. Франклин, Э. Чаргаффа).
Молекула ДНК образована двумя полинуклеотидными цепями, спирально закрученными друг около друга и вместе вокруг воображаемой оси, т.е. представляет собой двойную спираль (исключение — некоторые ДНК-содержащие вирусы имеют одноцепочечную ДНК). Диаметр двойной спирали ДНК — 2 нм, расстояние между соседними нуклеотидами — 0,34 нм, на один оборот спирали приходится 10 пар нуклеотидов. Длина молекулы может достигать нескольких сантиметров. Молекулярный вес — десятки и сотни миллионов. Суммарная длина ДНК ядра клетки человека — около 2 м. В эукариотических клетках ДНК образует комплексы с белками и имеет специфическую пространственную конформацию.
Мономер ДНК — нуклеотид (дезоксирибонуклеотид) — состоит из остатков трех веществ: 1) азотистого основания, 2) пятиуглеродного моносахарида (пентозы) и 3) фосфорной кислоты. Азотистые основания нуклеиновых кислот относятся к классам пиримидинов и пуринов. Пиримидиновые основания ДНК (имеют в составе своей молекулы одно кольцо) — тимин, цитозин. Пуриновые основания (имеют два кольца) — аденин и гуанин.
Название нуклеотида является производным от названия соответствующего основания. Нуклеотиды и азотистые основания обозначаются заглавными буквами.
Аденин Адениловый А (A)
Гуанин Гуаниловый Г (G)
Тимин Тимидиловый Т (T)
Цитозин Цитидиловый Ц (C)
Полинуклеотидная цепь образуется в результате реакций конденсации нуклеотидов. При этом между 3'-углеродом остатка дезоксирибозы одного нуклеотида и остатком фосфорной кислоты другого возникает фосфоэфирная связь (относится к категории прочных ковалентных связей). Один конец полинуклеотидной цепи заканчивается 5'-углеродом (его называют 5'-концом), другой — 3'-углеродом (3'-концом).
О мутациях, о том, что их вызывает и в каких случаях они могут быть удачными.
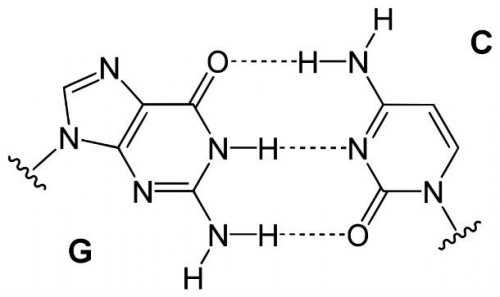
Из принципа комплементарности следует, что последовательность нуклеотидов одной цепи определяет последовательность нуклеотидов другой.
Цепи ДНК антипараллельны (разнонаправлены), т.е. нуклеотиды разных цепей располагаются в противоположных направлениях, и, следовательно, напротив 3'-конца одной цепи находится 5'-конец другой. Молекулу ДНК иногда сравнивают с винтовой лестницей. «Перила» этой лестницы — сахарофосфатный остов (чередующиеся остатки дезоксирибозы и фосфорной кислоты); «ступени» — комплементарные азотистые основания.
Функция ДНК — хранение и передача наследственной информации.
Репликация (редупликация) ДНК
Репликация ДНК — процесс самоудвоения, главное свойство молекулы ДНК. Репликация относится к категории реакций матричного синтеза, идет с участием ферментов. Под действием ферментов молекула ДНК раскручивается, и около каждой цепи, выступающей в роли матрицы, по принципам комплементарности и антипараллельности достраивается новая цепь. Таким образом, в каждой дочерней ДНК одна цепь является материнской, а вторая — вновь синтезированной. Такой способ синтеза называется полуконсервативным.
«Строительным материалом» и источником энергии для репликации являются дезо-ксирибо-нуклео-зидтри-фосфаты (АТФ, ТТФ, ГТФ, ЦТФ), содержащие три остатка фосфорной кислоты. При включении дезо-ксири-бону-клео-зидтри-фосфатов в полинуклеотидную цепь два концевых остатка фосфорной кислоты отщепляются, и освободившаяся энергия используется на образование фосфодиэфирной связи между нуклеотидами.
В репликации участвуют следующие ферменты:
геликазы («расплетают» ДНК);
дестабилизирующие белки;
ДНК-топоизомеразы (разрезают ДНК);
ДНК-полимеразы (подбирают дезо-ксирибо-нуклео-зидтри-фосфаты и комплементарно присоединяют их к матричной цепи ДНК);
РНК-праймазы (образуют РНК-затравки, праймеры);
ДНК-лигазы (сшивают фрагменты ДНК).
С помощью геликаз в определенных участках ДНК расплетается, одноцепочечные участки ДНК связываются дестабилизирующими белками, образуется репликационная вилка. При расхождении 10 пар нуклеотидов (один виток спирали) молекула ДНК должна совершить полный оборот вокруг своей оси. Чтобы предотвратить это вращение ДНК-топоизомераза разрезает одну цепь ДНК, что дает ей возможность вращаться вокруг второй цепи.
ДНК-полимераза может присоединять нуклеотид только к 3'-углероду дезоксирибозы предыдущего нуклеотида, поэтому данный фермент способен передвигаться по матричной ДНК только в одном направлении: от 3'-конца к 5'-концу этой матричной ДНК. Так как в материнской ДНК цепи антипараллельны, то на ее разных цепях сборка дочерних полинуклеотидных цепей происходит по-разному и в противоположных направлениях. На цепи 3'–5' синтез дочерней полинуклеотидной цепи идет без перерывов; эта дочерняя цепь будет называться лидирующей. На цепи 5'–3' — прерывисто, фрагментами (фрагменты Оказаки), которые после завершения репликации ДНК-лигазами сшиваются в одну цепь; эта дочерняя цепь будет называться запаздывающей (отстающей).
Особенностью ДНК-полимеразы является то, что она может начинать свою работу только с «затравки» (праймера). Роль «затравок» выполняют короткие последовательности РНК, образуемые при участи фермента РНК-праймазы и спаренные с матричной ДНК. РНК-затравки после окончания сборки полинуклеотидных цепочек удаляются.
Репликация протекает сходно у прокариот и эукариот. Скорость синтеза ДНК у прокариот на порядок выше (1000 нуклеотидов в секунду), чем у эукариот (100 нуклеотидов в секунду). Репликация начинается одновременно в нескольких участках молекулы ДНК. Фрагмент ДНК от одной точки начала репликации до другой образует единицу репликации — репликон.
Репликация происходит перед делением клетки. Благодаря этой способности ДНК осуществляется передача наследственной информации от материнской клетки дочерним.
Репарация («ремонт»)
Репарацией называется процесс устранения повреждений нуклеотидной последовательности ДНК. Осуществляется особыми ферментными системами клетки (ферменты репарации). В процессе восстановления структуры ДНК можно выделить следующие этапы: 1) ДНК-репарирующие нуклеазы распознают и удаляют поврежденный участок, в результате чего в цепи ДНК образуется брешь; 2) ДНК-полимераза заполняет эту брешь, копируя информацию со второй («хорошей») цепи; 3) ДНК-лигаза «сшивает» нуклеотиды, завершая репарацию.
Наиболее изучены три механизма репарации: 1) фоторепарация, 2) эксцизная, или дорепликативная, репарация, 3) пострепликативная репарация.
Изменения структуры ДНК происходят в клетке постоянно под действием реакционно-способных метаболитов, ультрафиолетового излучения, тяжелых металлов и их солей и др. Поэтому дефекты систем репарации повышают скорость мутационных процессов, являются причиной наследственных заболеваний (пигментная ксеродерма, прогерия и др.).
Строение и функции РНК
РНК — полимер, мономерами которой являются рибонуклеотиды. В отличие от ДНК, РНК образована не двумя, а одной полинуклеотидной цепочкой (исключение — некоторые РНК-содержащие вирусы имеют двухцепочечную РНК). Нуклеотиды РНК способны образовывать водородные связи между собой. Цепи РНК значительно короче цепей ДНК.
Мономер РНК — нуклеотид (рибонуклеотид) — состоит из остатков трех веществ: 1) азотистого основания, 2) пятиуглеродного моносахарида (пентозы) и 3) фосфорной кислоты. Азотистые основания РНК также относятся к классам пиримидинов и пуринов.
Пиримидиновые основания РНК — урацил, цитозин, пуриновые основания — аденин и гуанин. Моносахарид нуклеотида РНК представлен рибозой.
Выделяют три вида РНК: 1) информационная (матричная) РНК — иРНК (мРНК), 2) транспортная РНК — тРНК, 3) рибосомная РНК — рРНК.
Все виды РНК представляют собой неразветвленные полинуклеотиды, имеют специфическую пространственную конформацию и принимают участие в процессах синтеза белка. Информация о строении всех видов РНК хранится в ДНК. Процесс синтеза РНК на матрице ДНК называется транскрипцией.
Транспортная РНК
Транспортные РНК содержат обычно 76 (от 75 до 95) нуклеотидов; молекулярная масса — 25 000–30 000. На долю тРНК приходится около 10% от общего содержания РНК в клетке. Функции тРНК: 1) транспорт аминокислот к месту синтеза белка, к рибосомам, 2) трансляционный посредник. В клетке встречается около 40 видов тРНК, каждый из них имеет характерную только для него последовательность нуклеотидов. Однако у всех тРНК имеется несколько внутримолекулярных комплементарных участков, из-за которых тРНК приобретают конформацию, напоминающую по форме лист клевера. У любой тРНК есть петля для контакта с рибосомой (1), антикодоновая петля (2), петля для контакта с ферментом (3), акцепторный стебель (4), антикодон (5). Аминокислота присоединяется к 3'-концу акцепторного стебля. Антикодон — три нуклеотида, «опознающие» кодон иРНК. Следует подчеркнуть, что конкретная тРНК может транспортировать строго определенную аминокислоту, соответствующую ее антикодону. Специфичность соединения аминокислоты и тРНК достигается благодаря свойствам фермента аминоацил-тРНК-синтетаза.
Рибосомные РНК содержат 3000–5000 нуклеотидов; молекулярная масса — 1 000 000–1 500 000. На долю рРНК приходится 80–85% от общего содержания РНК в клетке. В комплексе с рибосомными белками рРНК образует рибосомы — органоиды, осуществляющие синтез белка. В эукариотических клетках синтез рРНК происходит в ядрышках. Функции рРНК: 1) необходимый структурный компонент рибосом и, таким образом, обеспечение функционирования рибосом; 2) обеспечение взаимодействия рибосомы и тРНК; 3) первоначальное связывание рибосомы и кодона-инициатора иРНК и определение рамки считывания, 4) формирование активного центра рибосомы.
Информационные РНК разнообразны по содержанию нуклеотидов и молекулярной массе (от 50 000 до 4 000 000). На долю иРНК приходится до 5% от общего содержания РНК в клетке. Функции иРНК: 1) перенос генетической информации от ДНК к рибосомам, 2) матрица для синтеза молекулы белка, 3) определение аминокислотной последовательности первичной структуры белковой молекулы.
Строение и функции АТФ
Аденозинтрифосфорная кислота (АТФ) — универсальный источник и основной аккумулятор энергии в живых клетках. АТФ содержится во всех клетках растений и животных. Количество АТФ в среднем составляет 0,04% (от сырой массы клетки), наибольшее количество АТФ (0,2–0,5%) содержится в скелетных мышцах.
Вирус — неклеточный инфекционный агент, который может воспроизводиться только внутри живых клеток. Вирусы поражают все типы организмов, от растений и животных Для большинства видов работ, происходящих в клетках, используется энергия гидролиза АТФ. При этом при отщеплении концевого остатка фосфорной кислоты АТФ переходит в АДФ (аденозиндифосфорную кислоту), при отщеплении второго остатка фосфорной кислоты — в АМФ (аденозинмонофосфорную кислоту). Выход свободной энергии при отщеплении как концевого, так и второго остатков фосфорной кислоты составляет по 30,6 кДж. Отщепление третьей фосфатной группы сопровождается выделением только 13,8 кДж. Связи между концевым и вторым, вторым и первым остатками фосфорной кислоты называются макроэргическими (высокоэнергетическими).
Запасы АТФ постоянно пополняются. В клетках всех организмов синтез АТФ происходит в процессе фосфорилирования, т.е. присоединения фосфорной кислоты к АДФ. Фосфорилирование происходит с разной интенсивностью при дыхании (митохондрии), гликолизе (цитоплазма), фотосинтезе (хлоропласты).
АТФ является основным связующим звеном между процессами, сопровождающимися выделением и накоплением энергии, и процессами, протекающими с затратами энергии. Кроме этого, АТФ наряду с другими рибонуклеозидтрифосфатами (ГТФ, ЦТФ, УТФ) является субстратом для синтеза РНК.
Интересные факты о ДНК
Микробы - собирательное название группы живых организмов, которые слишком малы для того, чтобы быть видимыми невооружённым глазом.
ДНК приобрела особую популярность в последние несколько десятилетий. В настоящее время генетические тесты используются в различных целях, в том числе для установления существования или отсутствия связи между родителем и ребёнком, для диагностирования генетических нарушений, для определения того, является ли человек носителем мутации, которую они могут передать своим детям, а также для определения склонности человека к определённой болезни.
По вышеупомянутым причинам считается, что открытие ДНК и наше понимание её структуры и функции вполне может быть самым значительным открытием 20-ого века. Эффект от открытия ДНК на научный и медицинский мир был просто огромным! Убедитесь в этом сами, ознакомившись с двадцатью пятью интересными фактами о ДНК, которых вы могли не знать.

25. ДНК присутствует во всех живых вещах и расшифровывается как дезоксирибонуклеиновая кислота.

24. Мы все слышали о тестах на установление отцовства, которые подтверждают взаимосвязь между ребёнком и его потенциальным отцом или же о том, как преступника можно идентифицировать с помощью анализа ДНК (если следователи обнаружили кровь, сперму или волосы на месте преступления), однако тестирование ДНК также используется для проверки подлинности таких продуктов, как икра и марочное вино.

23. ДНК используется в судебной экспертизе в сфере дикой природы для идентификации вымирающих видов и людей, которые охотятся на них (браконьеров).

22. В судебно-медицинской экспертизе ДНК-анализ, как правило, включает в себя рассмотрение тринадцати специфических маркеров ДНК (сегментов ДНК). Вероятность того, что у двух людей будет тот же ДНК-профиль из тринадцати маркеров, равна примерно одному случаю на миллиард.

21. ДНК можно извлечь из многих различных типов образцов: крови, слюны и даже мочи.

20. Тесты ДНК могут помочь вам понять какой у вас риск возникновения определённого заболевания. Например, мутации ДНК или её изменения могут быть связаны с повышенным риском развития ряда заболеваний, в том числе рака молочной железы.

19. На ДНК воздействуют внешние экологические факторы, которые могут включать и выключать гены. Это в значительной степени объясняет то, почему, например, у некоторых людей более тёмная кожа и более обильный волосяной покров тела, чем у других.

18. Изменения в последовательности ДНК называются мутациями. Да-да, Росомаха, мы говорим и тебе и твоих друзьях!

17. Тем не менее, мутации могут изменениями лишь в одном основании ДНК, или же они могут включать множественные изменения. Мутации также могут включать в себя целые сегменты хромосом.

16. Если говорить серьёзно, то многие вещи могут вызывать мутации, в том числе ультрафиолетовое излучение от Солнца, такие химические вещества, как наркотики и многое другое.

15. Если всю ДНК вашего тела вытянуть в одну нить, она бы достигла солнца и вернулась обратно более шестисот раз (сто триллионов умноженные на 180 сантиметров, разделенные на 148059648 километров).

14. Если вы развернёте все связи ДНК в ваших клетках, вы сможете достичь Луны шесть тысяч раз!
13. Гены являются кусочками ДНК, содержащими наследственную информацию и передающимися от родителей к детям.
12. Вся наша последовательность ДНК называется геномом. Кроме того, вся наша последовательность ДНК могла бы заполнить двести одну тысячу страниц телефонных справочников Нью-Йорка.
11. Многие страны, включая США и Великобританию, ведут базу данных ДНК осуждённых преступников.

10. У клонированной овцы Долли была та же ядерная ДНК, что и у её мамы-донора, но её митохондриальная ДНК совпадала с ДНК той матери, из чьей яйцеклетки её вывели. Звучит довольно запутанно, но учёные в этом разбираются.
9. Митохондриальная ДНК (мтДНК) находится в митохондриях и передаётся только от матери ребёнку, потому что митохондрии содержатся только в яйцеклетках, в сперматозоидах их нет.
8. Почти во всех клетках нашего организма есть ДНК, за исключением эритроцитов.

7. Считается, что, если бы вы печатали со скоростью шестьдесят слов в минуту по восемь часов в день, у вас бы ушло примерно пятьдесят лет на то, чтобы напечатать геном человека.
6. ДНК каждого из нас совпадает с ДНК любого другого человека на Земле на 99 процентов, однако у родителя и ребёнка ДНК совпадает на 99,5 процентов.

5. Несмотря на то, что она кодирует всю информацию, из которой состоит наш организм, сама ДНК состоит всего лишь из четырёх строительных блоков или нуклеотидов: аденина, гуанина, тимина и цитозина.
4. Большая часть ДНК находится не в ядрах клеток, которые контролируют наследственность, а в наших митохондриях, органеллах (единицах в клетках), которые генерируют метаболическую энергию.
3. ДНК отпечатков пальцев представляет собой набор маркеров ДНК, который уникален для каждого человека, кроме однояйцевых близнецов, так как однояйцевые близнецы обладают одинаковыми генами на 100 процентов.

2. Вопреки распространенному мнению, Джеймс Уотсон (James Watson) и Фрэнсис Крик (Francis Crick) не открыли ДНК. Эта честь принадлежит швейцарскому биохимику Фридриху Мишеру (Friedrich Miescher), который обнаружил молекулу в ядрах белых клеток крови в 1869 году и назвал её нуклеином.

1. Кроме того, Уотсон и Крик также не открыли строение нашей ДНК. Это сделал бактериолог Освальд Эвери (Oswald Avery) и его коллеги в начале 1940-ых годов. На самом деле Уотсон и Крик только расшифровали структуру двойной спирали ДНК в 1953 году.
Похожие публикации
Что я знаю - изменения климата

Все, что нужно знать глобальном потеплении, климате Арктики и погодных аномалиях. Открыть
Нейтронные звезды и черные дыры

Нейтронные звезды и черные дыры являются финальными стадиями эволюции массивных звезд. Эти компактные объекты не только обладают интереснейшими астрофизическими проявлениями, но и представляют огромный… Открыть

Демографическая катастрофа индейцев Америки, или геноцид индейцев Америки, — процесс уменьшения численности коренного населения Америки в результате действий европейских колонизаторов и их потомков… Открыть
Как ядовитый газ убил 8 тысяч человек за 72 часа

3 декабря 1984 года на химическом заводе компании UNION CARBIDE в Бхопале, Индия, произошёл аварийный выброс ядовитых паров метилизоцианата... Открыть
Химическое оружие

Химическое оружие — оружие массового поражения, действие которого основано на токсических свойствах отравляющих веществ (ОВ), и средства их применения: артиллерийские снаряды, ракеты, мины, авиационные… Открыть
